Landesgesetzblatt für Wien
| Jahrgang 2006 | Ausgegeben am 30. Juni 2006 | 39. Stück |
| 39. Verordnung: | Schutz der Dienstnehmer und Dienstnehmerinnen in land- und forstwirtschaftlichen Betrieben vor der Gefährdung durch Lärm und Vibrationen (Wiener Verordnung Lärm und Vibrationen in der Land- und Forstwirtschaft - Wr. VOLV Land- und Forstwirtschaft) [CELEX-Nrn.: 32002L0044 und 32003L0010] | |
39.
Verordnung der Wiener Landesregierung über den
Schutz der Dienstnehmer und Dienstnehmerinnen in land- und forstwirtschaftlichen
Betrieben vor der Gefährdung durch Lärm und Vibrationen (Wiener
Verordnung Lärm und Vibrationen in der Land- und Forstwirtschaft - Wr. VOLV
Land- und Forstwirtschaft)
Auf Grund der §§ 81 bis 82, 85 Abs. 4, 85c Abs. 4,
85i Abs. 6, 86 Abs. 6, 86e Abs. 1, 88e, 88f Abs. 1 und 3
sowie 88l Abs. 1 Z 3 und 4 der Wiener Landarbeitsordnung 1990, LGBl.
für Wien Nr. 33, zuletzt geändert durch das Gesetz LGBl. für
Wien Nr. 11/2006, wird verordnet:
Inhaltsverzeichnis
§ 1. Geltungsbereich
§ 2. Begriffsbestimmungen
§ 3. Expositionsgrenzwert
§ 4. Auslösewert
§ 5. Grenzwerte für bestimmte Räume
§ 6. Bewertungen und Messungen
§ 7. Ermittlung und Beurteilung der Gefahren
§ 8. Information, Unterweisung, Anhörung und Beteiligung der Dienstnehmer und Dienstnehmerinnen
§ 9. Maßnahmen und Maßnahmenprogramm
§ 10. Bauliche und raumakustische Maßnahmen
§ 11. Maßnahmen an der Quelle
§ 12. Maßnahmen betreffend Arbeitsmittel und Arbeitsvorgänge
§ 13. Technische und organisatorische Maßnahmen
§ 14. Persönliche Schutzausrüstung, Kennzeichnung, Verzeichnis
§ 15. Bezugnahme auf Richtlinien
§ 16. Übergangsbestimmungen und In-Kraft-Treten
§ 2. Begriffsbestimmungen
§ 3. Expositionsgrenzwert
§ 4. Auslösewert
§ 5. Grenzwerte für bestimmte Räume
§ 6. Bewertungen und Messungen
§ 7. Ermittlung und Beurteilung der Gefahren
§ 8. Information, Unterweisung, Anhörung und Beteiligung der Dienstnehmer und Dienstnehmerinnen
§ 9. Maßnahmen und Maßnahmenprogramm
§ 10. Bauliche und raumakustische Maßnahmen
§ 11. Maßnahmen an der Quelle
§ 12. Maßnahmen betreffend Arbeitsmittel und Arbeitsvorgänge
§ 13. Technische und organisatorische Maßnahmen
§ 14. Persönliche Schutzausrüstung, Kennzeichnung, Verzeichnis
§ 15. Bezugnahme auf Richtlinien
§ 16. Übergangsbestimmungen und In-Kraft-Treten
Anlage 1: Definition und Bewertung:
Lärmgrößen
Anlage 2: Definition und Bewertung: Vibrationsgrößen
Anlage 2: Definition und Bewertung: Vibrationsgrößen
§ 1. Diese Verordnung gilt in Arbeitsstätten im Sinne
des § 85 Abs. 1 der Wiener Landarbeitsordnung 1990 und für
Felder, Wälder und sonstige Flächen, die zu einem land- und
forstwirtschaftlichen Betrieb gehören, aber außerhalb seiner
verbauten Fläche liegen für Tätigkeiten, bei denen die
Dienstnehmer und Dienstnehmerinnen während ihrer Arbeit einer
Gefährdung durch Lärm oder durch Vibrationen ausgesetzt sind oder
ausgesetzt sein können.
§ 2. Im Sinne dieser Verordnung sind
1. Vibrationen: Mechanische Schwingungen oder Erschütterungen, die
durch direkten Kontakt auf den menschlichen Körper übertragen werden
(Definition und Bewertung laut Anlage 2);
a) Hand-Arm-Vibrationen: mechanische Schwingungen, die bei
Übertragung auf das Hand-Arm-System des Menschen Gefährdungen für
die Gesundheit und Sicherheit der Dienstnehmer und Dienstnehmerinnen
verursachen, insbesondere Durchblutungsstörungen, Knochen- oder
Gelenkschäden, neurologische oder Muskelerkrankungen.
b) Ganzkörper-Vibrationen: mechanische Schwingungen, die bei
Übertragung auf den gesamten Körper Gefährdungen für die
Gesundheit und Sicherheit der Dienstnehmer und Dienstnehmerinnen verursachen,
insbesondere Rückenschmerzen und Schädigungen der
Wirbelsäule.
2. Lärm: Jede Art von Schall im hörbaren Frequenzbereich
(Definition und Bewertung laut Anlage 1);
a) gehörgefährdender Lärm: Lärm über dem
Auslösewert (§ 4);
b) störender Lärm: Lärm, der einen Beurteilungspegel nach
§ 5 überschreitet.
§ 3. (1) Die nachstehenden Expositionsgrenzwerte
dürfen nicht überschritten werden:
1. Für Hand-Arm-Vibrationen: ahw,8h =
5 m/s2;
2. Für Ganzkörper-Vibrationen: aw,8h =
1,15 m/s2;
3. Für gehörgefährdenden Lärm: LA,EX,8h =
85 dB bzw. ppeak = 140 Pa (entspricht: LC,peak = 137
dB);
4. Für jugendliche Dienstnehmer und Dienstnehmerinnen gelten die in
§ 4 Abs. 1 Z 1 und 2 angeführten Auslösewerte
für Vibrationen als Expositionsgrenzwerte.
(2) Abweichend von Abs. 1 kann bei Lärmexpositionen, die von
einem Arbeitstag zum anderen erheblich schwanken, als Beurteilungszeitraum
für den Auslösewert (§ 4 Abs. 1 Z 3), und den
Expositionsgrenzwert (§ 3 Abs. 1 Z 3) anstatt des Tages (8
h) eine Woche (40 h) herangezogen werden, sofern
1. durch eine geeignete Bewertung oder Messung im Sinne des § 6
nachgewiesen wird, dass der Wochen-Lärmexpositionspegel
(LA,Ex,40h) den Expositionsgrenzwert nicht überschreitet,
und
2. geeignete Maßnahmen getroffen werden, um die mit diesen
Tätigkeiten verbundenen Risiken auf ein Mindestmaß zu
verringern.
(3) Wenn die Expositionsgrenzwerte überschritten werden, müssen
die Dienstgeber und Dienstgeberinnen
1. unverzüglich Maßnahmen ergreifen, um die Exposition auf
einen Wert unterhalb des Expositionsgrenzwertes zu senken,
2. ermitteln, warum der Expositionsgrenzwert überschritten wurde
und
3. die Schutz- und Vorbeugemaßnahmen entsprechend anpassen, um ein
erneutes Überschreiten des Grenzwertes zu verhindern.
Auslösewert
§ 4. (1) Die Exposition der Dienstnehmer und
Dienstnehmerinnen sollte, soweit dies nach dem Stand der Technik möglich
ist, keinen der folgenden Auslösewerte überschreiten. Wenn die
Exposition der Dienstnehmer und Dienstnehmerinnen einen der folgenden
Auslösewerte für Vibrationen überschreitet, sind die
§§ 6 bis 9 anzuwenden. Wenn die Exposition der Dienstnehmer und
Dienstnehmerinnen einen der folgenden Auslösewerte für Lärm
überschreitet, sind die §§ 8 Abs. 1 und 14 Abs. 1
anzuwenden. Die individuelle Wirkung von persönlicher Schutzausrüstung
ist hierbei nicht zu berücksichtigen. Die Auslösewerte
betragen:
1. Für Hand-Arm-Vibrationen: ahw,8h =
2,5 m/s2;
2. Für Ganzkörper-Vibrationen: aw,8h =
0,5 m/s2;
3. Für gehörgefährdenden Lärm: LA,EX,8h =
80 dB bzw. ppeak = 112 Pa (entspricht: LC,peak = 135
dB).
Grenzwerte für bestimmte Räume
§ 5. (1) Bei Ganzkörper-Vibrationen in Räumen
nach Z 1 bis 3 ist die Exposition so niedrig wie möglich zu halten und
darf maximal den Auslösewert erreichen. Bei Lärm in Räumen nach
Z 1 bis 3 dürfen die folgenden Beurteilungspegel nicht
überschritten werden, wobei die von außen einwirkenden
Geräusche, wie Lärm aus anderen Räumen, Nachbarschaftslärm,
Verkehrslärm, Fluglärm, Lärm von einer Baustelle, in die
Bewertung einzubeziehen sind:
1. LA,r = 50 dB in Räumen, in denen überwiegend
geistige Tätigkeiten ausgeführt werden;
2. LA,r = 65 dB in Räumen, in denen einfache
Bürotätigkeiten oder vergleichbare Tätigkeiten ausgeführt
werden;
3. LA,r = 50 dB ortsbezogen, in Aufenthalts- und
Bereitschaftsräumen, Sanitätsräumen und Wohnräumen, wobei
Geräusche, die durch Personen im Raum verursacht werden, nicht
einzubeziehen sind.
(2) Zur Einhaltung der Grenzwerte nach Abs. 1 Z 1 bis 3 darf
Gehörschutz nicht herangezogen werden.
§ 6. (1) Lärm und Vibrationen an den
Arbeitsplätzen sind einer Bewertung nach dem Stand der Technik zu
unterziehen. Dazu können zB Betriebsanleitungen, Hersteller- oder
Inverkehrbringerangaben, Arbeitsverfahrensvergleiche, veröffentlichte
Informationen, wie wissenschaftliche Erkenntnisse oder Vergleichsdatenbanken
oder Berechnungsverfahren, herangezogen werden.
(2) Kann auf Grund einer solchen Bewertung eine Überschreitung der
Expositionsgrenzwerte oder eine Überschreitung der Grenzwerte für
bestimmte Räume nicht sicher ausgeschlossen werden, so muss die Bewertung
auf Grundlage einer repräsentativen Messung erfolgen.
(3) Dienstgeber und Dienstgeberinnen haben dafür zu sorgen, dass
Bewertungen und Messungen
1. unter Berücksichtigung der Herstellerangaben sachkundig geplant
und in angemessenen Zeitabständen durchgeführt werden;
2. den physikalischen Eigenschaften von Lärm oder Vibrationen, dem
Ausmaß, der Dauer und der Expositionsgröße sowie der
Arbeitsumgebung angepasst sind und zu einem eindeutigen und repräsentativen
Ergebnis führen; dies gilt auch für Stichprobenverfahren;
3. bei Hand-Arm-Vibrationen für Arbeitsmittel, die beidhändig
gehalten oder geführt werden, an jeder Hand vorgenommen werden; die
repräsentative Exposition ergibt sich aus dem höheren der beiden
Werte, wobei beide Werte zu dokumentieren sind;
4. so dokumentiert werden (§ 75 der Wiener Landarbeitsordnung
1990), dass die Ergebnisse eindeutig und nachvollziehbar sind. Mögliche
Messfehler und Messunsicherheiten sind anzugeben und zu
berücksichtigen.
(4) Bewertungen und Messungen dürfen nur von fachkundigen Personen
oder Diensten durchgeführt werden. Diese müssen die erforderlichen
Fachkenntnisse und Berufserfahrungen besitzen und die Gewähr für die
gewissenhafte und repräsentative Durchführung der Bewertungen und
Messungen nach dem Stand der Technik bieten. Als Fachkundige können auch
Betriebsangehörige eingesetzt werden.
(5) Fachkundige Personen oder Dienste müssen über die je nach Art
der Aufgabenstellung, notwendigen und geeigneten Einrichtungen verfügen (zB
Software für Berechnungen, Messgeräte, die den vorherrschenden
Bedingungen insbesondere unter Berücksichtigung der Merkmale der zu
messenden physikalischen Größe angepasst sind, oder aus denen die
physikalische Größe eindeutig und repräsentativ abgeleitet
werden kann, Vergleichsdaten, einschlägige technische Normen).
§ 7. (1) Dienstgeber und Dienstgeberinnen müssen die
Gefahren, denen die Dienstnehmer und Dienstnehmerinnen durch Lärm oder
Vibrationen ausgesetzt sind, ermitteln und beurteilen und dabei insbesondere
Folgendes berücksichtigen:
1. Art, Ausmaß, Dauer und Frequenzspektrum der Exposition,
einschließlich der Exposition gegenüber impulsförmigem Schall
sowie gegenüber intermittierenden und wiederholten Vibrationen;
2. Expositionsgrenzwerte, Auslösewerte und Grenzwerte für
bestimmte Räume;
3. Ergebnisse von Bewertungen und Messungen sowie einschlägige
Informationen auf Grundlage der Gesundheitsüberwachung;
4. die Angaben von Herstellern und Herstellerinnen, Inverkehrbringern und
Inverkehrbringerinnen oder der Bedienungsanleitung (insbesondere Angaben zur
korrekten Verwendung, zur Wartung und Kennzeichnung der Arbeitsmittel) sowie
veröffentlichte Informationen wie wissenschaftliche Erkenntnisse oder
Vergleichsdaten.
(2) Weiters sind bei der Ermittlung und Beurteilung der Gefahren, denen die
Dienstnehmer und Dienstnehmerinnen durch Lärm oder Vibrationen ausgesetzt
sind, zu berücksichtigen:
1. alle Auswirkungen auf die Gesundheit und Sicherheit der Dienstnehmer
und Dienstnehmerinnen bei gleichzeitiger Einwirkung von Lärm und
Vibrationen oder ototoxischen Substanzen, soweit nach dem Stand der Technik oder
der Arbeitsmedizin ein Zusammenhang erwiesen ist;
2. besondere Arbeits- oder Umgebungsbedingungen bei Vibrationen, zB Arbeit
bei niedrigen Temperaturen;
3. alle Auswirkungen auf die Gesundheit und Sicherheit besonders
gefährdeter Dienstnehmer und Dienstnehmerinnen;
4. die Verfügbarkeit von persönlicher Schutzausrüstung mit
einer angemessenen mindernden Wirkung; bei Hand-Arm-Vibrationen zB auch
Handschuhe zum Schutz vor Nässe und Kälte;
5. alle indirekten Auswirkungen auf Gesundheit und Sicherheit der
Dienstnehmer und Dienstnehmerinnen durch
a) Wechselwirkungen zwischen Lärm und Warnsignalen bzw. anderen
Geräuschen, die beachtet werden müssen, um Unfallgefahren zu
vermeiden; dies ist insbesondere zu beachten, wenn Gehörschutz zur
Anwendung kommt;
b) verminderte Sprachverständlichkeit bei Lärm;
c) Auswirkungen von Vibrationen auf den Arbeitsplatz oder auf
Arbeitsmittel, zB wenn sich Vibrationen auf das korrekte Handhaben von
Bedienungselementen, auf das Ablesen von Anzeigen oder auf die Stabilität
der Strukturen oder die Festigkeit von Verbindungen störend
auswirken;
6. eine über die Normalarbeitszeit (acht Stunden oder vierzig
Stunden) hinausgehende Exposition gegenüber Lärm oder
Vibrationen.
(3) Bei der Ermittlung und Beurteilung der Gefahren ist, ausgehend vom
Ist-Zustand, Bedacht zu nehmen auf
1. die Gestaltung und Auslegung der Arbeitsstätten, Räume,
Arbeitsplätze und Arbeitsverfahren, wie bauliche Trennung von stark
belasteten Bereichen, Abschirmungen, für Lärm auch
Raumakustik;
2. die Verfügbarkeit alternativer Arbeitsmittel oder
Ausrüstungen und die Möglichkeit technischer Maßnahmen, durch
die das Ausmaß der Exposition verringert wird;
3. die Möglichkeit, Arbeitsmittel so aufzustellen und
Arbeitsvorgänge so durchzuführen, dass das Ausmaß der Exposition
insbesondere für Dienstnehmer und Dienstnehmerinnen, die nicht an diesen
Arbeitsmitteln oder bei diesen Arbeitsvorgängen tätig sind, verringert
wird;
4. die Möglichkeit, Verbindungen zwischen Arbeitsmitteln oder
sonstigen Einrichtungen schwingungsdämpfend zu gestalten.
(4) Die Ermittlung und Beurteilung ist regelmäßig zu
aktualisieren. Eine Überprüfung und erforderlichenfalls eine Anpassung
gemäß § 74 Abs. 7 und 8 der Wiener Landarbeitsordnung
1990 hat insbesondere auch zu erfolgen, wenn die Ermittlung und Beurteilung auf
Grund bedeutsamer Veränderungen veraltet sein könnte, oder wenn es
sich auf Grund der Ergebnisse einer Bewertung oder Messung oder auf Grund der
Ergebnisse der Gesundheitsüberwachung als erforderlich erweist.
§ 8. (1) Wenn ein Auslösewert überschritten ist,
muss eine Information und Unterweisung der Dienstnehmer und Dienstnehmerinnen
nach den §§ 81 und 81b der Wiener Landarbeitsordnung 1990
erfolgen. Diese hat sich jedenfalls zu beziehen auf:
1. die Maßnahmen gemäß den §§ 10 bis
13;
2. Bedeutung und Höhe der Expositionsgrenzwerte und der
Auslösewerte sowie ihren Bezug zur Gefährdung;
3. die Ergebnisse der Bewertungen und Messungen und die potentiellen
Gefahren, die von den
Emissionsquellen ausgehen;
Emissionsquellen ausgehen;
4. das Erkennen und Melden von gesundheitsschädigenden
Auswirkungen;
5. die Voraussetzungen, unter denen die Dienstnehmer und Dienstnehmerinnen
Anspruch auf eine Gesundheitsüberwachung haben und deren Zweck;
6. sichere Arbeitsverfahren, sowie korrekte Handhabung der Arbeitsmittel
und Verhaltensweisen zur Minimierung der Exposition;
7. die korrekte Verwendung der zur Verfügung gestellten
persönlichen Schutzausrüstung.
(2) Die Anhörung und Beteiligung der Dienstnehmer und
Dienstnehmerinnen nach § 81a der Wiener Landarbeitsordnung 1990 hat
sich insbesondere zu beziehen auf:
1. die Ergebnisse der Ermittlung und Beurteilung der Gefahren;
2. die Maßnahmen gemäß den §§ 10 bis
13;
3. die Auswahl persönlicher Schutzausrüstungen.
Maßnahmen und Maßnahmenprogramm
§ 9. (1) Gefahren durch Lärm oder Vibrationen
müssen am Entstehungsort ausgeschlossen oder so weit verringert werden, als
dies nach dem Stand der Technik und der Verfügbarkeit von geeigneten
technischen Mitteln möglich ist.
(2) Um Lärm und Vibrationen auf das niedrigste in der Praxis
vertretbare Niveau zu senken, müssen Dienstgeber und Dienstgeberinnen unter
Beachtung der Grundsätze der Gefahrenverhütung (§ 77 der
Wiener Landarbeitsordnung 1990) geeignete Maßnahmen aus den
§§ 10 bis 13 auswählen und durchführen.
(3) Wenn einer der nachstehenden Werte überschritten wird, müssen
Dienstgeber und Dienstgeberinnen bei der Festlegung von Maßnahmen nach
§ 74 Abs. 6 der Wiener Landarbeitsordnung 1990 auch ein Programm
mit Maßnahmen aus den §§ 10 bis 13 festlegen und
durchführen:
1. Auslösewerte für Vibrationen,
2. Expositionsgrenzwerte für gehörgefährdenden
Lärm,
3. Grenzwerte für bestimmte Räume.
Bauliche und raumakustische Maßnahmen
§ 10. (1) Im Maßnahmenprogramm nach § 9
sind bauliche Maßnahmen zur Vermeidung oder Verringerung der Exposition,
wie die Gestaltung und Auslegung der Räume und Arbeitsplätze
festzulegen. Bei Lärm sind nach Möglichkeit raumakustische
Maßnahmen mit einem mittleren Schallabsorptionsgrad von αm,B
= 0,25 (leerer Raum, Planungswert) oder αm = 0,3
(eingerichteter Raum) für die Oktavbandmittenfrequenzen von 500, 1000 und
2000 Hz zu setzen.
(2) Raumakustische Maßnahmen im Sinne des Abs. 1 müssen
jedenfalls gesetzt werden, wenn damit unterschritten werden kann
1. die jeweilige Expositionsgrenze für bestimmte Räume
(§ 5),
2. bei gehörgefährdendem Lärm der
Expositionsgrenzwert.
Maßnahmen an der Quelle
§ 11. Im Maßnahmenprogramm nach § 9 sind
Maßnahmen zur Vermeidung oder Verringerung der Exposition an der Quelle
festzulegen, wie
1. alternative Arbeitsverfahren, bei denen es zu keiner oder einer
geringeren Exposition gegenüber Lärm und Vibrationen kommt;
2. die Auswahl geeigneter Arbeitsmittel, die laut Herstellerangaben und
unter Berücksichtigung der auszuführenden Arbeit möglichst wenig
Lärm und Vibrationen verursachen und die, insbesondere bei Vibrationen,
nach ergonomischen Gesichtspunkten gestaltet sind;
3. die angemessene Wartung der Arbeitsmittel und ihrer Verbindungs- und
Aufstellungsbauteile sowie anderer Einrichtungen an den
Arbeitsplätzen.
Maßnahmen betreffend Arbeitsmittel und
Arbeitsvorgänge
§ 12. Im Maßnahmenprogramm nach § 9 sind
Maßnahmen betreffend Arbeitsmittel und Arbeitsvorgänge festzulegen,
wie
1. Arbeitsmittel und Arbeitsvorgänge, die an Arbeitsplätzen
Lärm oder Vibrationen über den Auslösewerten verursachen, sind
unter Berücksichtigung der Arbeitsabläufe nach Möglichkeit in
eigenen Räumen unterzubringen bzw. durchzuführen.
2. Arbeitsmittel und Arbeitsvorgänge, die an Arbeitsplätzen
Lärm oder Vibrationen verursachen, sind so aufzustellen bzw.
durchzuführen, dass insbesondere für Dienstnehmer und
Dienstnehmerinnen, die nicht an diesen Arbeitsmitteln oder bei diesen
Arbeitsvorgängen tätig sind, das Ausmaß der Exposition
gegenüber Lärm und Vibrationen soweit als möglich verringert
wird.
3. Rohre oder Leitungen, die vibrierende Arbeitsmittel untereinander oder
mit anderen Einrichtungen verbinden, müssen schwingungsdämpfend
ausgeführt und befestigt sein.
Technische und organisatorische
Maßnahmen
§ 13. (1) Im Maßnahmenprogramm nach § 9
sind technische Maßnahmen festzulegen:
1. für Lärm: Luftschallminderung (zB durch Abschirmungen,
Kapselungen, Abdeckungen mit schallabsorbierendem Material) oder
Körperschallminderung (zB durch Körperschalldämmung oder
Körperschallisolierung);
2. für Vibrationen: Bereitstellung von Zusatzausrüstungen, die
die Gefahren auf Grund von Vibrationen verringern (zB Sitze, die
Ganzkörper-Vibrationen wirkungsvoll dämpfen, oder Griffe, die auf den
Hand-Arm-Bereich übertragene Vibrationen verringern).
(2) Im Maßnahmenprogramm nach § 9 sind organisatorische
Maßnahmen festzulegen, wie
1. Abstandsvergrößerung zur Emissionsquelle von Lärm
insbesondere für Dienstnehmer und Dienstnehmerinnen, die nicht an diesen
Arbeitsmitteln oder bei diesen Arbeitsvorgängen tätig sind;
2. sichere Arbeitsverfahren, sowie korrekte Handhabung der Arbeitsmittel
und Verhaltensweisen zur Minimierung der Exposition der Dienstnehmer und
Dienstnehmerinnen;
3. Begrenzen der Dauer der Exposition durch geeignete organisatorische
Maßnahmen, wie eine Beschränkung der Beschäftigungsdauer,
Arbeitsunterbrechungen oder die Einhaltung von Erholzeiten.
Persönliche Schutzausrüstung, Kennzeichnung,
Verzeichnis
§ 14. (1) Für Dienstnehmer und Dienstnehmerinnen, die
sich in Bereichen aufhalten, in denen der Auslösewert für Lärm
überschritten ist, ist Gehörschutz zur Verfügung zu stellen.
Für Dienstnehmer und Dienstnehmerinnen, die sich in Bereichen aufhalten, in
denen der Expositionsgrenzwert für gehörgefährdenden Lärm
(Abs. 4) überschritten ist, muss der Gehörschutz so
ausgewählt werden, dass die individuelle Exposition der Dienstnehmer und
Dienstnehmerinnen den Expositionsgrenzwert nicht überschreitet.
Dienstnehmer und Dienstnehmerinnen, die sich in Bereichen aufhalten, in denen
der Expositionsgrenzwert für gehörgefährdenden Lärm
überschritten ist, müssen diesen Gehörschutz benutzen.
(2) Um den Expositionsgrenzwert für Vibrationen zu unterschreiten, ist
den Dienstnehmern und Dienstnehmerinnen persönliche Schutzausrüstung
zur Verfügung zu stellen, sofern für die spezifische Einwirkung eine
Schutzausrüstung erhältlich ist, durch die die individuelle Exposition
der Dienstnehmer und Dienstnehmerinnen unter den Expositionsgrenzwert gesenkt
werden kann. Außerdem ist erforderlichenfalls persönliche
Schutzausrüstung zum Schutz vor Kälte und Nässe, zB Handschuhe
als Witterungsschutz bei Hand-Arm-Vibrationen, bereitzustellen. Die Dienstnehmer
und Dienstnehmerinnen müssen die persönliche Schutzausrüstung
benutzen.
(3) Bereiche, in denen ein Expositionsgrenzwert für
gehörgefährdenden Lärm (Abs. 4) oder, bei
Übertragung von Vibrationen über den Boden, der Expositionsgrenzwert
für Ganzkörper-Vibrationen überschritten ist, sind in geeigneter
Weise zu kennzeichnen. Wenn dies technisch möglich und auf Grund der
Expositionsgefahr gerechtfertigt ist, sind sie auch abzugrenzen und ist der
Zugang einzuschränken.
(4) Die Überschreitung von Expositionsgrenzwerten nach Abs. 1 und
3 ist zu beurteilen
1. ortsbezogen oder
2. personenbezogen, sofern Ausmaß, Lage und Organisation der
Aufenthaltsdauer der betroffenen Dienstnehmer und Dienstnehmerinnen im
Sicherheits- und Gesundheitsschutzdokument festgelegt sind.
(5) Das Verzeichnis lärmexponierter Dienstnehmer und Dienstnehmerinnen
im Sinne des § 88e Abs. 4 Z 6 der Wiener Landarbeitsordnung
1990 ist für jene Dienstnehmer und Dienstnehmerinnen zu führen, die
einer personenbezogenen Exposition über dem Expositionsgrenzwert für
gehörgefährdenden Lärm ausgesetzt sind, wobei die individuelle
Wirkung von persönlicher Schutzausrüstung nicht zu
berücksichtigen ist.
Bezugnahme auf Richtlinien
§ 15. Durch diese Verordnung werden folgende Rechtsakte
der Europäischen Union umgesetzt:
1. Richtlinie 2002/44/EG über Mindestvorschriften zum Schutz von
Sicherheit und Gesundheit der Arbeitnehmer vor der Gefährdung durch
physikalische Einwirkungen (Vibrationen) (Sechzehnte Einzelrichtlinie im Sinne
des Artikels 16 Abs. 1 der Richtlinie 89/391/EWG), ABl.
Nr. L 177 vom 06.07.2002, S. 13;
2. Richtlinie 2003/10/EG über Mindestvorschriften zum Schutz von
Sicherheit und Gesundheit der Arbeitnehmer vor der Gefährdung durch
physikalische Einwirkungen (Lärm) (Siebzehnte Einzelrichtlinie im Sinne des
Artikels 16 Abs. 1 der Richtlinie 89/391/EWG), ABl. Nr. L 42
vom 15.02.2003, S. 38.
Übergangsbestimmungen und
In-Kraft-Treten
§ 16. (1) Diese Verordnung tritt mit Ablauf des Tages
ihrer Kundmachung in Kraft.
(2) Mit In-Kraft-Treten dieser Verordnung entfällt in der Land- und
forstwirtschaftlichen Dienstnehmerschutzverordnung, LGBl. für Wien
Nr. 10/1970, zuletzt geändert durch die Verordnung LGBl. für Wien
Nr. 16/2005, § 19 samt Überschrift.
(3) Abweichend von § 3 Abs. 1 erster Satz dürfen
Arbeitsmittel, die vor dem 7. Juli 2007 verwendet werden und bei deren
Verwendung trotz Durchführung aller in Betracht kommender Maßnahmen
nach dieser Verordnung die Einhaltung der Expositionsgrenzwerte für
Vibrationen nicht möglich ist, bis 7. Juli 2011 weiter verwendet
werden.
(4) Abweichend von § 5 Abs. 1 Z 2 gilt ein Grenzwert
von LA,r = 70 dB für Arbeitsräume, die bereits vor
In-Kraft-Treten dieser Verordnung für einfache Bürotätigkeiten
oder vergleichbare Tätigkeiten genutzt wurden.
(5) § 10 Abs. 2 gilt nicht für im Zeitpunkt des
In-Kraft-Tretens dieser Verordnung bereits bestehende
Arbeitsstätten.
Der Landeshauptmann:
Häupl
Medieninhaber: Land Wien – Herstellung:
Wiener Zeitung Digitale Publikationen GmbH, 1040 Wien
Druck: MA 53 – Presse- und
Informationsdienst der Stadt Wien (PID), 1082 Wien, Rathaus, Stiege
3
Gedruckt auf ökologischem Druckpapier
aus der Mustermappe „ÖkoKauf
Wien“.
LGBl. für Wien ist erhältlich in der Drucksortenstelle der Stadthauptkasse, 1010 Wien, Rathaus, Stiege 7, Hochparterre und kann bei der MA 53 – Presse- und Informations-
dienst der Stadt Wien, Rathaus, 1082 Wien, Tel.: (01) 4000-81026 DW bestellt bzw. abonniert werden.
LGBl. für Wien ist erhältlich in der Drucksortenstelle der Stadthauptkasse, 1010 Wien, Rathaus, Stiege 7, Hochparterre und kann bei der MA 53 – Presse- und Informations-
dienst der Stadt Wien, Rathaus, 1082 Wien, Tel.: (01) 4000-81026 DW bestellt bzw. abonniert werden.
Anlage 1
Gehörgefährdender Lärm:
Spitzenschalldruck (ppeak): Höchstwert des momentanen
C-bewerteten Schalldrucks.
Lärmexpositionspegel - LA,EX,8h oder LA,EX,40h:
A-bewerteter energieäquivalenter Dauerschallpegel LA,eq mit
einem Beurteilungszeitraum von einem Arbeitstag (8 h) oder bei
Lärmexpositionen, die von einem Arbeitstag zum anderen erheblich schwanken,
mit einem Beurteilungszeitraum von einer Arbeitswoche (40 h) gemäß
Abschnitt 3.6 ISO 1999:1990.
LA,EX,To = LA,eq,Te + 10 log
(Te/To)
mit Te als tatsächlicher Expositionsdauer zum jeweiligen
Beurteilungszeitraum To von 8 h bzw. 40 h.
Störwirkung von Lärm:
Beurteilungspegel - LA,r: Lärmexpositionspegel
LA,EX,To, wie für gehörgefährdenden Lärm, mit
Zuschlägen für die Impuls- oder Tonhaltigkeit.
LA,r = LA,EX,To + K
mit To als Beurteilungszeitraum und K als Zuschlag, der je nach
Gegebenheit entweder als Impulszuschlag KI oder Tonzuschlag
KT zu berücksichtigen ist. Bei gleichzeitigem Auftreten von
Impuls- und Tonhaltigkeit ist nur ein Zuschlag zu addieren.
Bei Aufenthaltsräumen in Baustellenwagen: LA,r =
LA,eq,Te + K mit Te als Pausendauer je Schicht
Impulszuschlag KI: Der Zuschlag für impulshältiges
Geräusch ist 6 dB, wenn die A-bewerteten Maximalpegel bei der
Anzeigedynamik „impulse“ sich um mindestens 2 dB von den
Maximalpegeln bei der Anzeigedynamik „fast“ unterscheiden.
Tonzuschlag KT: Wenn Tonkomponenten deutlich hörbar sind
und die Terzbandanalyse ergibt, dass der Pegel eines (oder zweier)
Terzbänder die Pegel der benachbarten Bänder um 5 dB oder mehr
übersteigt, beträgt der Tonzuschlag 6 dB.
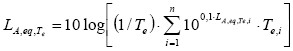
Zusammengesetzte Lärmexposition:
Setzt sich Ausmaß und Dauer der Lärmeinwirkung während
eines Arbeitstages oder einer Arbeitswoche aus zwei oder mehreren verschiedenen
Anteilen zusammen, so ist die Lärmexposition mit dem
Gesamt-Expositionszeitraum Te aus den i-ten verschiedenen Anteilen
wie folgt zu berechnen:
mit Definition und Bewertung:
Vibrationsgrößen
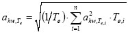
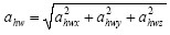
Hand-Arm-Vibrationen:
Die Bewertung des Ausmaßes der Exposition
gegenüber Hand-Arm-Vibrationen erfolgt anhand der Berechnung des auf einen
Bezugszeitraum von 8 Stunden normierten Tagesexpositionswertes
ahw,8h; dieser wird ausgedrückt als die Quadratwurzel aus der
Summe der Quadrate (Gesamtwert) der Effektivwerte der bewerteten Beschleunigung
in den drei orthogonalen Richtungen ahwx, ahwy,
ahwz gemäß Kapitel 4 und 5 sowie Anhang A
ÖNORM EN ISO 5349-1:2001.
und
mit Te als tatsächlicher Expositionsdauer zum
Beurteilungszeitraum To von 8 h.
Zusammengesetzte Exposition bei Hand-Arm-Vibrationen:
Setzt sich Ausmaß und Dauer der Einwirkung von Hand-Arm-Vibrationen
während eines Arbeitstages aus zwei oder mehreren verschiedenen Anteilen
zusammen, so ist die Vibrationsexposition mit dem Gesamt-Expositionszeitraum
Te aus den i-ten verschiedenen Anteilen wie folgt zu
berechnen:
mit
als gesamte
Expositionsdauer, Te,i als i-te Teilexpositionsdauer von n und mit
als i-te Teilexposition von n.
mit Ganzkörper-Vibrationen:
Die Bewertung des Ausmaßes der Exposition
gegenüber Ganzkörper-Vibrationen erfolgt anhand der Berechnung der
Tagesexposition aw,8h; diese wird ausgedrückt als die
äquivalente Dauerbeschleunigung für einen Zeitraum von 8 Stunden,
berechnet als der höchste Wert der Effektivwerte der bewerteten
Beschleunigungen in den drei orthogonalen Richtungen (1,4 awx, 1,4
awy, awz) für einen sitzenden oder stehenden
Dienstnehmer und eine sitzende oder stehende Dienstnehmerin gemäß
Abschnitt 5, 6 und 7 sowie Anhängen A und B ISO
2631-1:1997.
und
mit
Te als tatsächlicher Expositionsdauer zum Beurteilungszeitraum
To von 8 h.
Zusammengesetzte Exposition bei
Ganzkörper-Vibrationen:
Setzt sich Ausmaß und Dauer der Einwirkung von
Ganzkörper-Vibrationen während eines Arbeitstages aus zwei oder
mehreren verschiedenen Anteilen zusammen, so ist die Vibrationsexposition mit
dem Gesamt-Expositionszeitraum Te aus den i-ten verschiedenen
Anteilen wie folgt zu berechnen:
mit
als gesamte Expositionsdauer, Te,i als i-te
Teilexpositionsdauer von n und mit
als i-te
Teilexposition von n.
Verantwortlich für diese Seite:
mit Stadt Wien | Kommunikation und Medien
Kontaktformular